ggplot2-축 작업

그래프에서 축에 대해 말할 때, 그것은 모두 2 차원 방식으로 표현되는 x와 y 축에 관한 것입니다. 이 장에서는 데이터 과학자가 일반적으로 사용하는 두 개의 데이터 세트 인“Plantgrowth”및“Iris”데이터 세트에 대해 중점적으로 설명합니다.

Iris 데이터 세트에서 축 구현

다음 단계를 사용하여 R의 ggplot2 패키지를 사용하여 x 및 y 축에서 작업합니다.

패키지의 기능을 얻으려면 항상 라이브러리를로드하는 것이 중요합니다.

# Load ggplot
library(ggplot2)

# Read in dataset
data(iris)

플롯 포인트 생성

이전 장에서 설명한 것처럼 점이있는 플롯을 생성합니다. 즉, 산점도로 정의됩니다.

# Plot
p <- ggplot(iris, aes(Sepal.Length, Petal.Length, colour=Species)) + geom_point()
p

이제“ggplot2”의 매핑 구조를 언급하는 aes의 기능을 이해하겠습니다. 미적 매핑은 플로팅에 필요한 가변 구조와 개별 레이어 형식으로 관리해야하는 데이터를 설명합니다.

출력은 다음과 같습니다.

하이라이트 및 눈금 표시

아래에 언급 된 x 및 y 축의 언급 된 좌표로 마커를 플로팅합니다. 다음과 같이 텍스트 추가, 텍스트 반복, 특정 영역 강조 및 세그먼트 추가가 포함됩니다.

# add text
p + annotate("text", x = 6, y = 5, label = "text")

# add repeat
p + annotate("text", x = 4:6, y = 5:7, label = "text")

# highlight an area
p + annotate("rect", xmin = 5, xmax = 7, ymin = 4, ymax = 6, alpha = .5)

# segment
p + annotate("segment", x = 5, xend = 7, y = 4, yend = 5, colour = "black")

텍스트를 추가하기 위해 생성 된 출력은 다음과 같습니다.

언급 된 좌표로 특정 텍스트를 반복하면 다음과 같은 출력이 생성됩니다. 텍스트는 4에서 6까지의 x 좌표와 5에서 7까지의 y 좌표로 생성됩니다.

특정 영역 출력의 세분화 및 강조 표시는 다음과 같습니다.

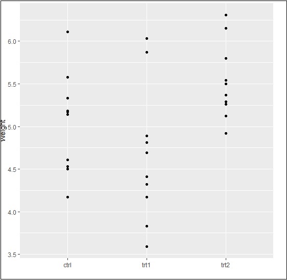
PlantGrowth 데이터 세트

이제 "Plantgrowth"라는 다른 데이터 세트 작업에 집중 해 보겠습니다. 필요한 단계는 다음과 같습니다.

도서관을 요청하고“식물 성장”의 속성을 확인하십시오. 이 데이터 세트에는 대조군과 두 가지 다른 처리 조건에서 얻은 수확량 (식물의 건조 중량으로 측정)을 비교하기위한 실험 결과가 포함되어 있습니다.

> PlantGrowth
  weight group
1 4.17 ctrl
2 5.58 ctrl
3 5.18 ctrl
4 6.11 ctrl
5 4.50 ctrl
6 4.61 ctrl
7 5.17 ctrl
8 4.53 ctrl
9 5.33 ctrl
10 5.14 ctrl
11 4.81 trt1
12 4.17 trt1
13 4.41 trt1
14 3.59 trt1
15 5.87 trt1
16 3.83 trt1
17 6.03 trt1

축으로 속성 추가

아래에 언급 된 것처럼 그래프의 x 및 y 축이 필요한 간단한 플롯을 그려보십시오.

> bp <- ggplot(PlantGrowth, aes(x=group, y=weight)) +
+    geom_point()
> bp

생성 된 출력은 다음과 같습니다.

마지막으로, 아래에 언급 된 기본 기능을 사용하여 요구 사항에 따라 x 및 y 축을 스 와이프 할 수 있습니다.

> bp <- ggplot(PlantGrowth, aes(x=group, y=weight)) +
+    geom_point()
> bp

기본적으로 미적 매핑과 함께 많은 속성을 사용하여 ggplot2를 사용하여 축 작업을 수행 할 수 있습니다.


Language