ggplot2 - Warna Latar Belakang

Ada cara untuk mengubah seluruh tampilan plot Anda dengan satu fungsi seperti yang disebutkan di bawah ini. Tetapi jika Anda hanya ingin mengubah warna latar belakang panel, gunakan yang berikut -

Menerapkan latar belakang Panel

Kita dapat mengubah warna latar belakang menggunakan perintah berikut yang membantu dalam mengubah panel (panel.background) -

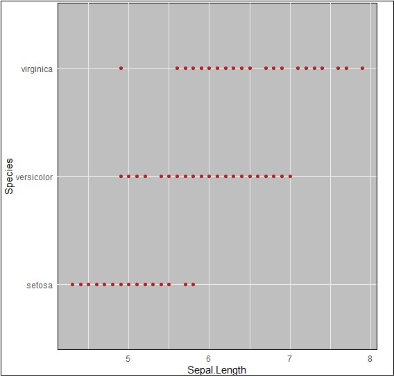
> ggplot(iris, aes(Sepal.Length, Species))+geom_point(color="firebrick")+
+ theme(panel.background = element_rect(fill = 'grey75'))

Perubahan warna terlihat jelas pada gambar di bawah ini -

Panel Pelaksana.grid.major

Kita dapat mengubah garis grid menggunakan properti "panel.grid.major" seperti yang disebutkan pada perintah di bawah ini -

> ggplot(iris, aes(Sepal.Length, Species))+geom_point(color="firebrick")+
+    theme(panel.background = element_rect(fill = 'grey75'),
+    panel.grid.major = element_line(colour = "orange", size=2),
+    panel.grid.minor = element_line(colour = "blue"))

Kami bahkan dapat mengubah latar belakang plot terutama mengecualikan panel menggunakan properti "plot.background" seperti yang disebutkan di bawah -

ggplot(iris, aes(Sepal.Length, Species))+geom_point(color="firebrick")+
+   theme(plot.background = element_rect(fill = 'pink'))

Language