Algorithme parallèle - Guide rapide

Un algorithmest une séquence d'étapes qui prennent des entrées de l'utilisateur et, après quelques calculs, produit une sortie. UNEparallel algorithm est un algorithme qui peut exécuter plusieurs instructions simultanément sur différents appareils de traitement, puis combiner toutes les sorties individuelles pour produire le résultat final.

Traitement simultané

La facilité d'accès aux ordinateurs et la croissance d'Internet ont changé la façon dont nous stockons et traitons les données. Nous vivons à une époque où les données sont disponibles en abondance. Chaque jour, nous traitons d'énormes volumes de données qui nécessitent un calcul complexe et cela aussi, en un temps record. Parfois, nous devons extraire des données d'événements similaires ou interdépendants qui se produisent simultanément. C'est là que nous avons besoinconcurrent processing qui peut diviser une tâche complexe et la traiter de plusieurs systèmes pour produire la sortie en un temps record.

Le traitement simultané est essentiel lorsque la tâche implique le traitement d'une énorme masse de données complexes. Les exemples incluent - l'accès à de grandes bases de données, les tests d'aéronefs, les calculs astronomiques, la physique atomique et nucléaire, l'analyse biomédicale, la planification économique, le traitement d'images, la robotique, les prévisions météorologiques, les services Web, etc.

Qu'est-ce que le parallélisme?

Parallelismest le processus de traitement simultané de plusieurs ensembles d'instructions. Cela réduit le temps de calcul total. Le parallélisme peut être implémenté en utilisantparallel computers,c'est à dire un ordinateur avec de nombreux processeurs. Les ordinateurs parallèles nécessitent un algorithme parallèle, des langages de programmation, des compilateurs et un système d'exploitation prenant en charge le multitâche.

Dans ce tutoriel, nous aborderons uniquement parallel algorithms. Avant d'aller plus loin, parlons d'abord des algorithmes et de leurs types.

Qu'est-ce qu'un algorithme?

Un algorithmest une séquence d'instructions suivies pour résoudre un problème. Lors de la conception d'un algorithme, nous devons considérer l'architecture de l'ordinateur sur lequel l'algorithme sera exécuté. Selon l'architecture, il existe deux types d'ordinateurs -

  • Ordinateur séquentiel
  • Ordinateur parallèle

En fonction de l'architecture des ordinateurs, nous avons deux types d'algorithmes -

  • Sequential Algorithm - Un algorithme dans lequel certaines étapes consécutives d'instructions sont exécutées dans un ordre chronologique pour résoudre un problème.

  • Parallel Algorithm- Le problème est divisé en sous-problèmes et est exécuté en parallèle pour obtenir des sorties individuelles. Plus tard, ces sorties individuelles sont combinées ensemble pour obtenir la sortie finale souhaitée.

Il n'est pas facile de diviser un gros problème en sub-problems. Les sous-problèmes peuvent avoir une dépendance de données entre eux. Par conséquent, les processeurs doivent communiquer entre eux pour résoudre le problème.

Il s'est avéré que le temps nécessaire aux processeurs pour communiquer entre eux est supérieur au temps de traitement réel. Ainsi, lors de la conception d'un algorithme parallèle, une utilisation appropriée du processeur doit être envisagée pour obtenir un algorithme efficace.

Pour concevoir correctement un algorithme, nous devons avoir une idée claire de la base model of computation dans un ordinateur parallèle.

Modèle de calcul

Les ordinateurs séquentiels et parallèles fonctionnent sur un ensemble (flux) d'instructions appelées algorithmes. Cet ensemble d'instructions (algorithme) indique à l'ordinateur ce qu'il doit faire à chaque étape.

En fonction du flux d'instructions et du flux de données, les ordinateurs peuvent être classés en quatre catégories -

  • Ordinateurs à flux d'instructions unique, flux de données unique (SISD)
  • Flux d'instructions unique, ordinateurs à flux de données multiples (SIMD)
  • Ordinateurs à flux d'instructions multiples et à flux de données unique (MISD)
  • Flux d'instructions multiples, ordinateurs à flux de données multiples (MIMD)

Ordinateurs SISD

Les ordinateurs SISD contiennent one control unit, one processing unit, et one memory unit.

Dans ce type d'ordinateurs, le processeur reçoit un seul flux d'instructions de l'unité de contrôle et fonctionne sur un seul flux de données de l'unité de mémoire. Lors du calcul, à chaque étape, le processeur reçoit une instruction de l'unité de contrôle et opère sur une seule donnée reçue de l'unité mémoire.

Ordinateurs SIMD

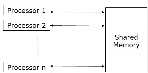
Les ordinateurs SIMD contiennent one control unit, multiple processing units, et shared memory or interconnection network.

Ici, une seule unité de contrôle envoie des instructions à toutes les unités de traitement. Lors du calcul, à chaque étape, tous les processeurs reçoivent un seul ensemble d'instructions de l'unité de contrôle et opèrent sur différents ensembles de données de l'unité mémoire.

Chacune des unités de traitement a sa propre unité de mémoire locale pour stocker à la fois des données et des instructions. Dans les ordinateurs SIMD, les processeurs doivent communiquer entre eux. Ceci est fait parshared memory ou par interconnection network.

Alors que certains processeurs exécutent un ensemble d'instructions, les processeurs restants attendent leur prochain ensemble d'instructions. Les instructions de l'unité de contrôle déterminent quel processeur seraactive (exécuter des instructions) ou inactive (attendez la prochaine instruction).

Ordinateurs MISD

Comme son nom l'indique, les ordinateurs MISD contiennent multiple control units, multiple processing units, et one common memory unit.

Ici, chaque processeur a sa propre unité de contrôle et ils partagent une unité de mémoire commune. Tous les processeurs reçoivent des instructions individuellement de leur propre unité de contrôle et ils fonctionnent sur un seul flux de données selon les instructions qu'ils ont reçues de leurs unités de contrôle respectives. Ce processeur fonctionne simultanément.

Ordinateurs MIMD

Les ordinateurs MIMD ont multiple control units, multiple processing units, et un shared memory ou interconnection network.

Ici, chaque processeur possède sa propre unité de commande, une unité de mémoire locale et une unité arithmétique et logique. Ils reçoivent différents ensembles d'instructions de leurs unités de contrôle respectives et fonctionnent sur différents ensembles de données.

Remarque

  • Un ordinateur MIMD qui partage une mémoire commune est appelé multiprocessors, tandis que ceux qui utilisent un réseau d'interconnexion sont appelés multicomputers.

  • Sur la base de la distance physique des processeurs, les multi-ordinateurs sont de deux types -

    • Multicomputer - Lorsque tous les processeurs sont très proches les uns des autres (par exemple, dans la même pièce).

    • Distributed system - Lorsque tous les processeurs sont éloignés les uns des autres (par exemple dans les différentes villes)

L'analyse d'un algorithme nous aide à déterminer si l'algorithme est utile ou non. Généralement, un algorithme est analysé en fonction de son temps d'exécution(Time Complexity) et la quantité d'espace (Space Complexity) cela demande.

Étant donné que nous avons des périphériques de mémoire sophistiqués disponibles à un coût raisonnable, l'espace de stockage n'est plus un problème. Par conséquent, la complexité spatiale n'a pas autant d'importance.

Les algorithmes parallèles sont conçus pour améliorer la vitesse de calcul d'un ordinateur. Pour analyser un algorithme parallèle, nous considérons normalement les paramètres suivants -

  • Complexité temporelle (temps d'exécution),
  • Nombre total de processeurs utilisés, et
  • Coût total.

Complexité temporelle

La principale raison du développement d'algorithmes parallèles était de réduire le temps de calcul d'un algorithme. Ainsi, évaluer le temps d'exécution d'un algorithme est extrêmement important pour analyser son efficacité.

Le temps d'exécution est mesuré sur la base du temps mis par l'algorithme pour résoudre un problème. Le temps total d'exécution est calculé à partir du moment où l'algorithme commence à s'exécuter jusqu'au moment où il s'arrête. Si tous les processeurs ne commencent ou ne terminent pas l'exécution en même temps, alors le temps total d'exécution de l'algorithme est le moment où le premier processeur a commencé son exécution jusqu'au moment où le dernier processeur arrête son exécution.

La complexité temporelle d'un algorithme peut être classée en trois catégories -

  • Worst-case complexity - Lorsque le temps requis par un algorithme pour une entrée donnée est maximum.

  • Average-case complexity - Lorsque le temps requis par un algorithme pour une entrée donnée est average.

  • Best-case complexity - Lorsque le temps requis par un algorithme pour une entrée donnée est minimum.

Analyse asymptotique

La complexité ou l'efficacité d'un algorithme est le nombre d'étapes exécutées par l'algorithme pour obtenir la sortie souhaitée. L'analyse asymptotique est effectuée pour calculer la complexité d'un algorithme dans son analyse théorique. Dans l'analyse asymptotique, une grande longueur d'entrée est utilisée pour calculer la fonction de complexité de l'algorithme.

Note - Asymptoticest une condition où une ligne a tendance à rencontrer une courbe, mais elle ne se coupe pas. Ici, la ligne et la courbe sont asymptotiques l'une par rapport à l'autre.

La notation asymptotique est le moyen le plus simple de décrire le temps d'exécution le plus rapide et le plus lent possible pour un algorithme utilisant des limites élevées et des limites basses de vitesse. Pour cela, nous utilisons les notations suivantes -

  • Notation Big O
  • Notation Omega
  • Notation thêta

Notation Big O

En mathématiques, la notation Big O est utilisée pour représenter les caractéristiques asymptotiques des fonctions. Il représente le comportement d'une fonction pour des entrées importantes dans une méthode simple et précise. C'est une méthode de représentation de la limite supérieure du temps d'exécution d'un algorithme. Il représente le temps le plus long que l'algorithme pourrait prendre pour terminer son exécution. La fonction -

f (n) = O (g (n))

ssi il existe des constantes positives c et n0 tel que f(n) ≤ c * g(n) pour tous nn ≥ n0.

Notation Omega

La notation Omega est une méthode de représentation de la limite inférieure du temps d'exécution d'un algorithme. La fonction -

f (n) = Ω (g (n))

ssi il existe des constantes positives c et n0 tel que f(n) ≥ c * g(n) pour tous nn ≥ n0.

Notation thêta

La notation thêta est une méthode de représentation à la fois de la limite inférieure et de la limite supérieure du temps d'exécution d'un algorithme. La fonction -

f (n) = θ (g (n))

ssi il existe des constantes positives c1, c2, et n0 tel que c1 * g (n) ≤ f (n) ≤ c2 * g (n) pour tout nn ≥ n0.

Accélération d'un algorithme

Les performances d'un algorithme parallèle sont déterminées en calculant son speedup. L'accélération est définie comme le rapport entre le temps d'exécution le plus défavorable de l'algorithme séquentiel connu le plus rapide pour un problème particulier et le temps d'exécution le plus défavorable de l'algorithme parallèle.

speedup =
Temps d'exécution du pire cas du séquentiel connu le plus rapide pour un problème particulier / Temps d'exécution du pire cas de l'algorithme parallèle

Nombre de processeurs utilisés

Le nombre de processeurs utilisés est un facteur important dans l'analyse de l'efficacité d'un algorithme parallèle. Le coût d'achat, de maintenance et de fonctionnement des ordinateurs est calculé. Plus le nombre de processeurs utilisés par un algorithme pour résoudre un problème est grand, plus le résultat obtenu devient plus coûteux.

Coût total

Le coût total d'un algorithme parallèle est le produit de la complexité du temps et du nombre de processeurs utilisés dans cet algorithme particulier.

Coût total = complexité du temps × nombre de processeurs utilisés

Par conséquent, la efficiency d'un algorithme parallèle est -

Efficacité =
Temps d'exécution du pire cas de l'algorithme séquentiel / Temps d'exécution du pire cas de l'algorithme parallèle

Le modèle d'un algorithme parallèle est développé en considérant une stratégie de division des données et une méthode de traitement et en appliquant une stratégie appropriée pour réduire les interactions. Dans ce chapitre, nous discuterons des modèles d'algorithmes parallèles suivants -

  • Modèle parallèle de données
  • Modèle de graphique de tâches
  • Modèle de piscine de travail
  • Modèle maître esclave
  • Modèle de consommateur ou de pipeline producteur
  • Modèle hybride

Parallèle de données

Dans le modèle parallèle de données, les tâches sont affectées à des processus et chaque tâche effectue des types d'opérations similaires sur différentes données. Data parallelism est une conséquence d'opérations uniques appliquées à plusieurs éléments de données.

Le modèle parallèle aux données peut être appliqué aux espaces d'adresses partagées et aux paradigmes de transmission de messages. Dans le modèle parallèle aux données, les frais généraux d'interaction peuvent être réduits en sélectionnant une décomposition préservant la localité, en utilisant des routines d'interaction collective optimisées ou en superposant le calcul et l'interaction.

La principale caractéristique des problèmes de modèles parallèles aux données est que l'intensité du parallélisme des données augmente avec la taille du problème, ce qui permet à son tour d'utiliser plus de processus pour résoudre des problèmes plus importants.

Example - Multiplication matricielle dense.

Modèle de graphique de tâches

Dans le modèle de graphe de tâches, le parallélisme est exprimé par un task graph. Un graphique de tâches peut être trivial ou non. Dans ce modèle, la corrélation entre les tâches est utilisée pour promouvoir la localité ou pour minimiser les coûts d'interaction. Ce modèle est appliqué pour résoudre des problèmes dans lesquels la quantité de données associées aux tâches est énorme par rapport au nombre de calculs qui leur sont associés. Les tâches sont assignées pour aider à améliorer le coût du mouvement des données entre les tâches.

Examples - Tri rapide parallèle, factorisation matricielle clairsemée et algorithmes parallèles dérivés via l'approche diviser-pour-conquérir.

Ici, les problèmes sont divisés en tâches atomiques et implémentés sous forme de graphique. Chaque tâche est une unité de travail indépendante qui a des dépendances sur une ou plusieurs tâches antérieures. Après l'achèvement d'une tâche, la sortie d'une tâche antérieure est transmise à la tâche dépendante. Une tâche avec une tâche antécédente ne démarre l'exécution que lorsque la totalité de sa tâche antécédente est terminée. La sortie finale du graphique est reçue lorsque la dernière tâche dépendante est terminée (tâche 6 dans la figure ci-dessus).

Modèle de pool de travail

Dans le modèle de pool de travail, les tâches sont affectées dynamiquement aux processus pour équilibrer la charge. Par conséquent, tout processus peut potentiellement exécuter n'importe quelle tâche. Ce modèle est utilisé lorsque la quantité de données associées aux tâches est comparativement inférieure au calcul associé aux tâches.

Il n'y a pas de pré-affectation souhaitée des tâches sur les processus. L'attribution des tâches est centralisée ou décentralisée. Les pointeurs vers les tâches sont enregistrés dans une liste physiquement partagée, dans une file d'attente prioritaire ou dans une table ou une arborescence de hachage, ou ils peuvent être enregistrés dans une structure de données physiquement distribuée.

La tâche peut être disponible au début ou peut être générée dynamiquement. Si la tâche est générée dynamiquement et qu'une attribution décentralisée de la tâche est effectuée, un algorithme de détection de fin est nécessaire pour que tous les processus puissent effectivement détecter l'achèvement de l'ensemble du programme et cesser de rechercher plus de tâches.

Example - Recherche d'arbres parallèles

Modèle maître-esclave

Dans le modèle maître-esclave, un ou plusieurs processus maîtres génèrent une tâche et l'affectent aux processus esclaves. Les tâches peuvent être attribuées au préalable si -

  • le capitaine peut estimer le volume des tâches, ou
  • une assignation aléatoire peut faire un travail satisfaisant d'équilibrage de la charge, ou
  • les esclaves se voient attribuer des tâches plus petites à des moments différents.

Ce modèle est généralement également adapté à shared-address-space ou message-passing paradigms, puisque l'interaction se fait naturellement de deux manières.

Dans certains cas, une tâche peut devoir être accomplie en phases, et la tâche de chaque phase doit être terminée avant que la tâche des phases suivantes puisse être générée. Le modèle maître-esclave peut être généralisé àhierarchical ou multi-level master-slave model dans lequel le maître de niveau supérieur fournit la grande partie des tâches au maître de deuxième niveau, qui subdivise en outre les tâches entre ses propres esclaves et peut effectuer une partie de la tâche elle-même.

Précautions d'utilisation du modèle maître-esclave

Il faut veiller à ce que le maître ne devienne pas un point de congestion. Cela peut arriver si les tâches sont trop petites ou si les travailleurs sont relativement rapides.

Les tâches doivent être sélectionnées de manière à ce que le coût de l'exécution d'une tâche domine le coût de la communication et le coût de la synchronisation.

L'interaction asynchrone peut aider à chevaucher l'interaction et le calcul associé à la génération de travail par le maître.

Modèle de pipeline

Il est également connu sous le nom de producer-consumer model. Ici, un ensemble de données est transmis à travers une série de processus, dont chacun exécute une tâche. Ici, l'arrivée de nouvelles données génère l'exécution d'une nouvelle tâche par un processus dans la file d'attente. Les processus peuvent former une file d'attente sous la forme de tableaux linéaires ou multidimensionnels, d'arbres ou de graphes généraux avec ou sans cycles.

Ce modèle est une chaîne de producteurs et de consommateurs. Chaque processus de la file d'attente peut être considéré comme un consommateur d'une séquence d'éléments de données pour le processus qui le précède dans la file d'attente et comme un producteur de données pour le processus qui le suit dans la file d'attente. La file d'attente n'a pas besoin d'être une chaîne linéaire; cela peut être un graphe orienté. La technique de minimisation d'interaction la plus courante applicable à ce modèle est l'interaction chevauchante avec le calcul.

Example - Algorithme de factorisation LU parallèle.

Modèles hybrides

Un modèle d'algorithme hybride est nécessaire lorsque plus d'un modèle peut être nécessaire pour résoudre un problème.

Un modèle hybride peut être composé de plusieurs modèles appliqués hiérarchiquement ou de plusieurs modèles appliqués séquentiellement à différentes phases d'un algorithme parallèle.

Example - Tri rapide parallèle

Parallel Random Access Machines (PRAM)est un modèle considéré pour la plupart des algorithmes parallèles. Ici, plusieurs processeurs sont attachés à un seul bloc de mémoire. Un modèle PRAM contient -

  • Un ensemble de types de processeurs similaires.

  • Tous les processeurs partagent une unité de mémoire commune. Les processeurs peuvent communiquer entre eux uniquement via la mémoire partagée.

  • Une unité d'accès à la mémoire (MAU) connecte les processeurs à la mémoire partagée unique.

Ici, n nombre de processeurs peuvent effectuer des opérations indépendantes sur nnombre de données dans une unité de temps particulière. Cela peut entraîner un accès simultané au même emplacement mémoire par différents processeurs.

Pour résoudre ce problème, les contraintes suivantes ont été appliquées sur le modèle PRAM -

  • Exclusive Read Exclusive Write (EREW) - Ici, deux processeurs ne sont pas autorisés à lire ou à écrire dans le même emplacement de mémoire en même temps.

  • Exclusive Read Concurrent Write (ERCW) - Ici, deux processeurs ne sont pas autorisés à lire à partir du même emplacement de mémoire en même temps, mais sont autorisés à écrire dans le même emplacement de mémoire en même temps.

  • Concurrent Read Exclusive Write (CREW) - Ici, tous les processeurs sont autorisés à lire à partir du même emplacement de mémoire en même temps, mais ne sont pas autorisés à écrire dans le même emplacement de mémoire en même temps.

  • Concurrent Read Concurrent Write (CRCW) - Tous les processeurs sont autorisés à lire ou à écrire dans le même emplacement mémoire en même temps.

Il existe de nombreuses méthodes pour implémenter le modèle PRAM, mais les plus importantes sont -

  • Modèle de mémoire partagée
  • Modèle de passage de message
  • Modèle parallèle de données

Modèle de mémoire partagée

La mémoire partagée met l'accent sur control parallelism que sur data parallelism. Dans le modèle de mémoire partagée, plusieurs processus s'exécutent sur différents processeurs indépendamment, mais ils partagent un espace mémoire commun. En raison de toute activité du processeur, s'il y a un changement dans un emplacement de mémoire, il est visible par le reste des processeurs.

Comme plusieurs processeurs accèdent au même emplacement mémoire, il peut arriver qu'à un moment donné, plusieurs processeurs accèdent au même emplacement mémoire. Supposons que l'un lit cet emplacement et que l'autre écrive à cet emplacement. Cela peut créer de la confusion. Pour éviter cela, certains mécanismes de contrôle, commelock / semaphore, est mis en œuvre pour garantir l'exclusion mutuelle.

La programmation de la mémoire partagée a été implémentée dans ce qui suit -

  • Thread libraries- La bibliothèque de threads autorise plusieurs threads de contrôle qui s'exécutent simultanément dans le même emplacement mémoire. La bibliothèque de threads fournit une interface qui prend en charge le multithreading via une bibliothèque de sous-programmes. Il contient des sous-programmes pour

    • Créer et détruire des threads
    • Planification de l'exécution du thread
    • transmission de données et de messages entre les threads
    • enregistrement et restauration des contextes de thread

Des exemples de bibliothèques de threads incluent: les threads SolarisTM pour Solaris, les threads POSIX tels qu'implémentés sous Linux, les threads Win32 disponibles sous Windows NT et Windows 2000 et les threads JavaTM dans le cadre du kit de développement JavaTM standard (JDK).

  • Distributed Shared Memory (DSM) Systems- Les systèmes DSM créent une abstraction de mémoire partagée sur une architecture faiblement couplée afin de mettre en œuvre une programmation de mémoire partagée sans prise en charge matérielle. Ils implémentent des bibliothèques standard et utilisent les fonctionnalités avancées de gestion de la mémoire au niveau de l'utilisateur présentes dans les systèmes d'exploitation modernes. Les exemples incluent Tread Marks System, Munin, IVY, Shasta, Brazos et Cashmere.

  • Program Annotation Packages- Ceci est implémenté sur les architectures ayant des caractéristiques d'accès mémoire uniformes. L'exemple le plus notable de packages d'annotations de programmes est OpenMP. OpenMP implémente le parallélisme fonctionnel. Il se concentre principalement sur la parallélisation des boucles.

Le concept de mémoire partagée fournit un contrôle de bas niveau du système de mémoire partagée, mais il a tendance à être fastidieux et erroné. Il est plus applicable à la programmation système qu'à la programmation d'application.

Avantages de la programmation en mémoire partagée

  • L'espace d'adressage global offre une approche de programmation conviviale de la mémoire.

  • En raison de la proximité de la mémoire avec le processeur, le partage des données entre les processus est rapide et uniforme.

  • Il n'est pas nécessaire de spécifier distinctement la communication des données entre les processus.

  • La surcharge de communication de processus est négligeable.

  • C'est très facile à apprendre.

Inconvénients de la programmation en mémoire partagée

  • Ce n'est pas portable.
  • La gestion de la localité des données est très difficile.

Modèle de transmission de messages

La transmission de messages est l'approche de programmation parallèle la plus couramment utilisée dans les systèmes de mémoire distribuée. Ici, le programmeur doit déterminer le parallélisme. Dans ce modèle, tous les processeurs ont leur propre unité de mémoire locale et ils échangent des données via un réseau de communication.

Les processeurs utilisent des bibliothèques de transmission de messages pour communiquer entre eux. Outre les données envoyées, le message contient les éléments suivants -

  • L'adresse du processeur à partir duquel le message est envoyé;

  • Adresse de départ de l'emplacement mémoire des données dans le processeur émetteur;

  • Type de données des données d'envoi;

  • Taille des données des données d'envoi;

  • L'adresse du processeur auquel le message est envoyé;

  • Adresse de départ de l'emplacement de mémoire pour les données dans le processeur récepteur.

Les processeurs peuvent communiquer entre eux par l'une des méthodes suivantes:

  • Communication point à point
  • Communication collective
  • Interface de transmission de messages

Communication point à point

La communication point à point est la forme la plus simple de transmission de messages. Ici, un message peut être envoyé du processeur d'envoi à un processeur de réception par l'un des modes de transfert suivants:

  • Synchronous mode - Le message suivant n'est envoyé qu'après la réception d'une confirmation que son message précédent a été remis, pour maintenir la séquence du message.

  • Asynchronous mode - Pour envoyer le message suivant, la réception de la confirmation de la remise du message précédent n'est pas requise.

Communication collective

La communication collective implique plus de deux processeurs pour la transmission des messages. Les modes suivants permettent des communications collectives -

  • Barrier - Le mode barrière est possible si tous les processeurs inclus dans les communications exécutent un bock particulier (appelé barrier block) pour la transmission du message.

  • Broadcast - La diffusion est de deux types -

    • One-to-all - Ici, un processeur avec une seule opération envoie le même message à tous les autres processeurs.

    • All-to-all - Ici, tous les processeurs envoient un message à tous les autres processeurs.

Les messages diffusés peuvent être de trois types -

  • Personalized - Des messages uniques sont envoyés à tous les autres processeurs de destination.

  • Non-personalized - Tous les processeurs de destination reçoivent le même message.

  • Reduction - En diffusion de réduction, un processeur du groupe collecte tous les messages de tous les autres processeurs du groupe et les combine en un seul message auquel tous les autres processeurs du groupe peuvent accéder.

Mérites de la transmission de messages

  • Fournit un contrôle de bas niveau du parallélisme;
  • Il est portable;
  • Moins sujet aux erreurs;
  • Moins de frais généraux dans la synchronisation parallèle et la distribution des données.

Inconvénients de la transmission de messages

  • Par rapport au code de mémoire partagée parallèle, le code de transmission de messages nécessite généralement plus de temps système.

Bibliothèques de transmission de messages

Il existe de nombreuses bibliothèques de transmission de messages. Ici, nous allons discuter de deux des bibliothèques de transmission de messages les plus utilisées -

  • Interface de transmission de messages (MPI)
  • Machine virtuelle parallèle (PVM)

Interface de transmission de messages (MPI)

Il s'agit d'une norme universelle pour fournir une communication entre tous les processus simultanés dans un système de mémoire distribuée. La plupart des plates-formes informatiques parallèles couramment utilisées fournissent au moins une implémentation d'interface de passage de messages. Il a été implémenté sous forme de collection de fonctions prédéfinies appeléeslibrary et peuvent être appelés à partir de langages tels que C, C ++, Fortran, etc. Les MPI sont à la fois rapides et portables par rapport aux autres bibliothèques de transmission de messages.

Merits of Message Passing Interface

  • Fonctionne uniquement sur les architectures de mémoire partagée ou les architectures de mémoire distribuée;

  • Chaque processeur a ses propres variables locales;

  • Par rapport aux grands ordinateurs à mémoire partagée, les ordinateurs à mémoire distribuée sont moins chers.

Demerits of Message Passing Interface

  • D'autres changements de programmation sont nécessaires pour l'algorithme parallèle;
  • Parfois difficile à déboguer; et
  • Ne fonctionne pas bien dans le réseau de communication entre les nœuds.

Machine virtuelle parallèle (PVM)

PVM est un système de transmission de messages portable, conçu pour connecter des machines hôtes hétérogènes séparées pour former une seule machine virtuelle. Il s'agit d'une seule ressource informatique parallèle gérable. Les grands problèmes de calcul tels que les études de supraconductivité, les simulations de dynamique moléculaire et les algorithmes matriciels peuvent être résolus de manière plus rentable en utilisant la mémoire et la puissance globale de nombreux ordinateurs. Il gère tout le routage des messages, la conversion des données, la planification des tâches dans le réseau des architectures informatiques incompatibles.

Features of PVM

  • Très facile à installer et à configurer;
  • Plusieurs utilisateurs peuvent utiliser PVM en même temps;
  • Un utilisateur peut exécuter plusieurs applications;
  • C'est un petit paquet;
  • Prend en charge C, C ++, Fortran;
  • Pour une exécution donnée d'un programme PVM, les utilisateurs peuvent sélectionner le groupe de machines;
  • C'est un modèle de transmission de messages,
  • Calcul basé sur les processus;
  • Prend en charge l'architecture hétérogène.

Programmation parallèle de données

L'objectif principal du modèle de programmation parallèle de données est d'effectuer simultanément des opérations sur un ensemble de données. L'ensemble de données est organisé en une structure telle qu'un tableau, un hypercube, etc. Les processeurs effectuent des opérations collectivement sur la même structure de données. Chaque tâche est effectuée sur une partition différente de la même structure de données.

Il est restrictif, car tous les algorithmes ne peuvent pas être spécifiés en termes de parallélisme des données. C'est la raison pour laquelle le parallélisme des données n'est pas universel.

Les langages parallèles de données aident à spécifier la décomposition des données et le mappage vers les processeurs. Il comprend également des instructions de distribution de données qui permettent au programmeur d'avoir le contrôle sur les données - par exemple, quelles données iront sur quel processeur - pour réduire la quantité de communication au sein des processeurs.

Pour appliquer correctement un algorithme, il est très important que vous sélectionniez une structure de données appropriée. C'est parce qu'une opération particulière effectuée sur une structure de données peut prendre plus de temps que la même opération effectuée sur une autre structure de données.

Example- Pour accéder au i ème élément d'un ensemble en utilisant un tableau, cela peut prendre un temps constant mais en utilisant une liste chaînée, le temps nécessaire pour effectuer la même opération peut devenir un polynôme.

Par conséquent, la sélection d'une structure de données doit se faire en tenant compte de l'architecture et du type d'opérations à effectuer.

Les structures de données suivantes sont couramment utilisées dans la programmation parallèle -

  • Liste liée
  • Arrays
  • Réseau Hypercube

Liste liée

Une liste chaînée est une structure de données ayant zéro ou plusieurs nœuds connectés par des pointeurs. Les nœuds peuvent ou non occuper des emplacements mémoire consécutifs. Chaque nœud a deux ou trois parties - unedata part qui stocke les données et les deux autres sont link fieldsqui stockent l'adresse du nœud précédent ou suivant. L'adresse du premier nœud est stockée dans un pointeur externe appeléhead. Le dernier nœud, appelétail, ne contient généralement aucune adresse.

Il existe trois types de listes liées -

  • Liste liée individuellement
  • Liste doublement liée
  • Liste liée circulaire

Liste liée individuellement

Un nœud d'une liste liée individuellement contient des données et l'adresse du nœud suivant. Un pointeur externe appeléhead stocke l'adresse du premier nœud.

Liste doublement liée

Un nœud d'une liste doublement liée contient des données et l'adresse du nœud précédent et suivant. Un pointeur externe appeléhead stocke l'adresse du premier nœud et le pointeur externe appelé tail stocke l'adresse du dernier nœud.

Liste liée circulaire

Une liste chaînée circulaire est très similaire à la liste chaînée simple, sauf le fait que le dernier nœud a enregistré l'adresse du premier nœud.

Tableaux

Un tableau est une structure de données dans laquelle nous pouvons stocker des types de données similaires. Il peut être unidimensionnel ou multidimensionnel. Les tableaux peuvent être créés de manière statique ou dynamique.

  • Dans statically declared arrays, la dimension et la taille des tableaux sont connues au moment de la compilation.

  • Dans dynamically declared arrays, la dimension et la taille du tableau sont connues au moment de l'exécution.

Pour la programmation en mémoire partagée, les tableaux peuvent être utilisés comme mémoire commune et pour la programmation parallèle de données, ils peuvent être utilisés par partitionnement en sous-tableaux.

Réseau Hypercube

L'architecture Hypercube est utile pour les algorithmes parallèles où chaque tâche doit communiquer avec d'autres tâches. La topologie Hypercube peut facilement intégrer d'autres topologies telles que l'anneau et le maillage. Il est également connu sous le nom de n-cubes, oùnest le nombre de dimensions. Un hypercube peut être construit de manière récursive.

La sélection d'une technique de conception appropriée pour un algorithme parallèle est la tâche la plus difficile et la plus importante. La plupart des problèmes de programmation parallèle peuvent avoir plus d'une solution. Dans ce chapitre, nous aborderons les techniques de conception suivantes pour les algorithmes parallèles -

  • Diviser et conquérir
  • Méthode gourmande
  • Programmation dynamique
  • Backtracking
  • Branche et lié
  • Programmation linéaire

Méthode Divide and Conquer

Dans l'approche diviser pour conquérir, le problème est divisé en plusieurs petits sous-problèmes. Ensuite, les sous-problèmes sont résolus de manière récursive et combinés pour obtenir la solution du problème d'origine.

L'approche diviser pour conquérir implique les étapes suivantes à chaque niveau -

  • Divide - Le problème d'origine est divisé en sous-problèmes.

  • Conquer - Les sous-problèmes sont résolus de manière récursive.

  • Combine - Les solutions des sous-problèmes sont combinées pour obtenir la solution du problème d'origine.

L'approche diviser et conquérir est appliquée dans les algorithmes suivants -

  • Recherche binaire
  • Tri rapide
  • Tri par fusion
  • Multiplication d'entiers
  • Inversion de matrice
  • Multiplication matricielle

Méthode gourmande

Dans l'algorithme gourmand d'optimisation de la solution, la meilleure solution est choisie à tout moment. Un algorithme glouton est très facile à appliquer à des problèmes complexes. Il décide quelle étape fournira la solution la plus précise à l'étape suivante.

Cet algorithme est un appelé greedycar lorsque la solution optimale à la plus petite instance est fournie, l'algorithme ne considère pas le programme total dans son ensemble. Une fois qu'une solution est considérée, l'algorithme glouton ne considère plus jamais la même solution.

Un algorithme gourmand fonctionne de manière récursive en créant un groupe d'objets à partir des plus petits composants possibles. La récursivité est une procédure pour résoudre un problème dans lequel la solution à un problème spécifique dépend de la solution de la plus petite instance de ce problème.

Programmation dynamique

La programmation dynamique est une technique d'optimisation qui divise le problème en sous-problèmes plus petits et après avoir résolu chaque sous-problème, la programmation dynamique combine toutes les solutions pour obtenir la solution ultime. Contrairement à la méthode de division et de conquête, la programmation dynamique réutilise plusieurs fois la solution des sous-problèmes.

L'algorithme récursif pour la série Fibonacci est un exemple de programmation dynamique.

Algorithme de retour en arrière

Le backtracking est une technique d'optimisation pour résoudre des problèmes combinatoires. Il est appliqué à la fois aux problèmes programmatiques et réels. Huit problèmes de reine, puzzle de Sudoku et traverser un labyrinthe sont des exemples populaires où l'algorithme de retour en arrière est utilisé.

En backtracking, on part d'une solution possible, qui satisfait toutes les conditions requises. Ensuite, nous passons au niveau suivant et si ce niveau ne produit pas une solution satisfaisante, nous retournons un niveau en arrière et commençons avec une nouvelle option.

Branche et lié

Un algorithme de branche et lié est une technique d'optimisation pour obtenir une solution optimale au problème. Il recherche la meilleure solution pour un problème donné dans tout l'espace de la solution. Les limites de la fonction à optimiser sont fusionnées avec la valeur de la dernière meilleure solution. Il permet à l'algorithme de trouver complètement des parties de l'espace de solution.

Le but d'une recherche branchée et liée est de conserver le chemin le moins coûteux vers une cible. Une fois qu'une solution est trouvée, elle peut continuer à améliorer la solution. La recherche de branche et de limite est implémentée dans la recherche limitée en profondeur et la recherche en profondeur d'abord.

Programmation linéaire

La programmation linéaire décrit une large classe de travaux d'optimisation où le critère d'optimisation et les contraintes sont des fonctions linéaires. C'est une technique pour obtenir le meilleur résultat comme le profit maximum, le chemin le plus court ou le coût le plus bas.

Dans cette programmation, nous avons un ensemble de variables et nous devons leur attribuer des valeurs absolues pour satisfaire un ensemble d'équations linéaires et maximiser ou minimiser une fonction objectif linéaire donnée.

Une matrice est un ensemble de données numériques et non numériques organisées en un nombre fixe de lignes et de colonnes. La multiplication matricielle est une conception de multiplication importante dans le calcul parallèle. Ici, nous discuterons de la mise en œuvre de la multiplication matricielle sur divers réseaux de communication comme le maillage et l'hypercube. Le maillage et l'hypercube ont une connectivité réseau plus élevée, ils permettent donc un algorithme plus rapide que d'autres réseaux comme le réseau en anneau.

Réseau maillé

Une topologie dans laquelle un ensemble de nœuds forme une grille p-dimensionnelle est appelée topologie maillée. Ici, toutes les arêtes sont parallèles à l'axe de la grille et tous les nœuds adjacents peuvent communiquer entre eux.

Nombre total de nœuds = (nombre de nœuds dans la ligne) × (nombre de nœuds dans la colonne)

Un réseau maillé peut être évalué en utilisant les facteurs suivants -

  • Diameter
  • Largeur de la coupe

Diameter - Dans un réseau maillé, le plus long distanceentre deux nœuds est son diamètre. Un réseau maillé p-dimensionnel ayantkP noeuds a un diamètre de p(k–1).

Bisection width - La largeur de bisection est le nombre minimum d'arêtes devant être supprimées d'un réseau pour diviser le réseau maillé en deux moitiés.

Multiplication matricielle à l'aide d'un réseau maillé

Nous avons considéré un modèle SIMD de réseau maillé 2D ayant des connexions enveloppantes. Nous allons concevoir un algorithme pour multiplier deux tableaux n × n en utilisant n 2 processeurs dans un laps de temps donné.

Les matrices A et B ont respectivement les éléments a ij et b ij . L'élément de traitement PE ij représente a ij et b ij . Disposez les matrices A et B de manière à ce que chaque processeur ait une paire d'éléments à multiplier. Les éléments de la matrice A se déplaceront vers la gauche et les éléments de la matrice B se déplaceront vers le haut. Ces changements de position des éléments dans les matrices A et B présentent à chaque élément de traitement, PE, un nouveau couple de valeurs à multiplier.

Étapes de l'algorithme

  • Décalez deux matrices.
  • Calculer tous les produits, a ik × b kj
  • Calculez les sommes lorsque l'étape 2 est terminée.

Algorithme

Procedure MatrixMulti

Begin
   for k = 1 to n-1
	
   for all Pij; where i and j ranges from 1 to n
      ifi is greater than k then
         rotate a in left direction
      end if
		
   if j is greater than k then
      rotate b in the upward direction
   end if
	
   for all Pij ; where i and j lies between 1 and n
      compute the product of a and b and store it in c
   for k= 1 to n-1 step 1
   for all Pi;j where i and j ranges from 1 to n
      rotate a in left direction
      rotate b in the upward direction
      c=c+aXb
End

Réseau Hypercube

Un hypercube est une construction à n dimensions où les arêtes sont perpendiculaires entre elles et ont la même longueur. Un hypercube à n dimensions est également appelé cube à n ou cube à n dimensions.

Caractéristiques de l'hypercube avec nœud 2 k

  • Diamètre = k
  • Largeur de coupe = 2 k – 1
  • Nombre d'arêtes = k

Multiplication matricielle à l'aide du réseau Hypercube

Spécification générale des réseaux Hypercube -

  • Laisser N = 2mêtre le nombre total de processeurs. Soit les processeurs P 0, P 1 … ..P N-1 .

  • Soit i et i b deux entiers, 0 <i, i b <N-1 et sa représentation binaire ne diffère qu'en position b, 0 <b <k – 1.

  • Considérons deux matrices n × n, la matrice A et la matrice B.

  • Step 1- Les éléments de la matrice A et de la matrice B sont affectés aux n 3 processeurs de telle sorte que le processeur en position i, j, k aura un ji et b ik .

  • Step 2 - Tout le processeur en position (i, j, k) calcule le produit

    C (i, j, k) = A (i, j, k) × B (i, j, k)

  • Step 3 - La somme C (0, j, k) = ΣC (i, j, k) pour 0 ≤ i ≤ n-1, où 0 ≤ j, k <n – 1.

Matrice de blocs

La matrice de blocs ou matrice partitionnée est une matrice où chaque élément lui-même représente une matrice individuelle. Ces sections individuelles sont appeléesblock ou sub-matrix.

Exemple

Sur la figure (a), X est une matrice de blocs où A, B, C, D sont eux-mêmes une matrice. La figure (f) montre la matrice totale.

Multiplication de la matrice de blocs

Lorsque deux matrices de blocs sont des matrices carrées, elles sont multipliées de la même manière que nous effectuons une multiplication matricielle simple. Par exemple,

Le tri est un processus consistant à organiser les éléments d'un groupe dans un ordre particulier, c'est-à-dire dans l'ordre croissant, dans l'ordre décroissant, dans l'ordre alphabétique, etc. Nous aborderons ici ce qui suit -

  • Tri d'énumération
  • Tri de transposition pair-impair
  • Tri de fusion parallèle
  • Tri hyper rapide

Le tri d'une liste d'éléments est une opération très courante. Un algorithme de tri séquentiel peut ne pas être assez efficace lorsque nous devons trier un énorme volume de données. Par conséquent, des algorithmes parallèles sont utilisés pour le tri.

Tri d'énumération

Le tri par énumération est une méthode d'organisation de tous les éléments dans une liste en recherchant la position finale de chaque élément dans une liste triée. Cela se fait en comparant chaque élément avec tous les autres éléments et en trouvant le nombre d'éléments ayant une valeur inférieure.

Par conséquent, pour deux éléments quelconques, a i et a j l'un quelconque des cas suivants doit être vrai -

  • a i <a j
  • a i > a j
  • a i = a j

Algorithme

procedure ENUM_SORTING (n)

begin
   for each process P1,j do
      C[j] := 0;
		
   for each process Pi, j do
	
      if (A[i] < A[j]) or A[i] = A[j] and i < j) then
         C[j] := 1;
      else
         C[j] := 0;
			
   for each process P1, j do
      A[C[j]] := A[j];
		
end ENUM_SORTING

Tri de transposition pair-impair

Le tri par transposition impair-pair est basé sur la technique du tri à bulles. Il compare deux nombres adjacents et les change, si le premier nombre est supérieur au deuxième nombre pour obtenir une liste d'ordre croissant. Le cas contraire s'applique pour une série par ordre décroissant. Le tri de transposition impair-pair fonctionne en deux phases -odd phase et even phase. Dans les deux phases, les processus échangent des numéros avec leur numéro adjacent à droite.

Algorithme

procedure ODD-EVEN_PAR (n) 

begin 
   id := process's label 
	
   for i := 1 to n do 
   begin 
	
      if i is odd and id is odd then 
         compare-exchange_min(id + 1); 
      else 
         compare-exchange_max(id - 1);
			
      if i is even and id is even then 
         compare-exchange_min(id + 1); 
      else 
         compare-exchange_max(id - 1);
			
   end for
	
end ODD-EVEN_PAR

Tri de fusion parallèle

Le tri par fusion divise d'abord la liste non triée en sous-listes les plus petites possibles, la compare à la liste adjacente et la fusionne dans un ordre trié. Il implémente très bien le parallélisme en suivant l'algorithme de division et de conquête.

Algorithme

procedureparallelmergesort(id, n, data, newdata)

begin
   data = sequentialmergesort(data)
	
      for dim = 1 to n
         data = parallelmerge(id, dim, data)
      endfor
		
   newdata = data
end

Tri hyper rapide

Le tri hyper rapide est une implémentation du tri rapide sur hypercube. Ses étapes sont les suivantes -

  • Divisez la liste non triée entre chaque nœud.
  • Triez chaque nœud localement.
  • À partir du nœud 0, diffusez la valeur médiane.
  • Divisez chaque liste localement, puis échangez les moitiés dans la dimension la plus élevée.
  • Répétez les étapes 3 et 4 en parallèle jusqu'à ce que la cote atteigne 0.

Algorithme

procedure HYPERQUICKSORT (B, n)
begin

   id := process’s label;
	
   for i := 1 to d do
      begin
      x := pivot;
      partition B into B1 and B2 such that B1 ≤ x < B2;
      if ith bit is 0 then
		
      begin
         send B2 to the process along the ith communication link;
         C := subsequence received along the ith communication link;
         B := B1 U C;
      endif
      
      else
         send B1 to the process along the ith communication link;
         C := subsequence received along the ith communication link;
         B := B2 U C;
         end else
      end for
		
   sort B using sequential quicksort;
	
end HYPERQUICKSORT

La recherche est l'une des opérations fondamentales de l'informatique. Il est utilisé dans toutes les applications où nous avons besoin de trouver si un élément est dans la liste donnée ou non. Dans ce chapitre, nous aborderons les algorithmes de recherche suivants -

  • Diviser et conquérir
  • Recherche en profondeur d'abord
  • Recherche en largeur d'abord
  • Meilleure première recherche

Diviser et conquérir

Dans l'approche diviser pour conquérir, le problème est divisé en plusieurs petits sous-problèmes. Ensuite, les sous-problèmes sont résolus de manière récursive et combinés pour obtenir la solution du problème d'origine.

L'approche diviser pour conquérir implique les étapes suivantes à chaque niveau -

  • Divide - Le problème d'origine est divisé en sous-problèmes.

  • Conquer - Les sous-problèmes sont résolus de manière récursive.

  • Combine - Les solutions des sous-problèmes sont combinées pour obtenir la solution du problème d'origine.

La recherche binaire est un exemple d'algorithme de division et de conquête.

Pseudocode

Binarysearch(a, b, low, high)

if low < high then
   return NOT FOUND
else
   mid ← (low+high) / 2
   if b = key(mid) then
      return key(mid)
   else if b < key(mid) then
      return BinarySearch(a, b, low, mid−1)
   else
   
      return BinarySearch(a, b, mid+1, high)

Recherche en profondeur d'abord

La recherche en profondeur d'abord (ou DFS) est un algorithme de recherche dans un arbre ou une structure de données de graphe non orienté. Ici, le concept est de partir du nœud de départ connu sous le nom derootet traverser autant que possible dans la même branche. Si nous obtenons un nœud sans nœud successeur, nous retournons et continuons avec le sommet, qui n'a pas encore été visité.

Étapes de la recherche en profondeur d'abord

  • Considérez un nœud (racine) qui n'a pas été visité précédemment et marquez-le comme visité.

  • Visitez le premier nœud successeur adjacent et marquez-le comme visité.

  • Si tous les nœuds successeurs du nœud considéré sont déjà visités ou s'il n'a plus de nœud successeur, retournez à son nœud parent.

Pseudocode

Laisser v être le sommet où la recherche commence dans Graph G.

DFS(G,v)

   Stack S := {};
	
   for each vertex u, set visited[u] := false;
   push S, v;
   while (S is not empty) do
     u := pop S;
	  
      if (not visited[u]) then
         visited[u] := true;
         for each unvisited neighbour w of u
            push S, w;
      end if
		
   end while
   
END DFS()

Recherche en largeur d'abord

La recherche en largeur d'abord (ou BFS) est un algorithme de recherche dans un arbre ou une structure de données de graphe non dirigée. Ici, nous commençons par un nœud, puis visitons tous les nœuds adjacents du même niveau, puis passons au nœud successeur adjacent au niveau suivant. Ceci est également connu commelevel-by-level search.

Étapes de la recherche en largeur d'abord

  • Commencez par le nœud racine, marquez-le comme visité.
  • Comme le nœud racine n'a pas de nœud au même niveau, passez au niveau suivant.
  • Visitez tous les nœuds adjacents et marquez-les comme visités.
  • Passez au niveau suivant et visitez tous les nœuds adjacents non visités.
  • Continuez ce processus jusqu'à ce que tous les nœuds soient visités.

Pseudocode

Laisser v être le sommet où la recherche commence dans Graph G.

BFS(G,v)

   Queue Q := {};
	
   for each vertex u, set visited[u] := false;
   insert Q, v;
   while (Q is not empty) do
      u := delete Q;
		
      if (not visited[u]) then
         visited[u] := true;
         for each unvisited neighbor w of u
            insert Q, w;
      end if
		
   end while
   
END BFS()

Meilleure première recherche

Best-First Search est un algorithme qui parcourt un graphique pour atteindre une cible dans le chemin le plus court possible. Contrairement à BFS et DFS, Best-First Search suit une fonction d'évaluation pour déterminer quel nœud est le plus approprié pour traverser ensuite.

Étapes de la meilleure première recherche

  • Commencez par le nœud racine, marquez-le comme visité.
  • Trouvez le prochain nœud approprié et marquez-le comme visité.
  • Passez au niveau suivant et trouvez le nœud approprié et marquez-le comme visité.
  • Continuez ce processus jusqu'à ce que la cible soit atteinte.

Pseudocode

BFS( m )

   Insert( m.StartNode )
   Until PriorityQueue is empty
      c ← PriorityQueue.DeleteMin
      If c is the goal
      Exit
   Else
   
      Foreach neighbor n of c
         If n "Unvisited"
            Mark n "Visited"
            Insert( n )
      Mark c "Examined"
      
End procedure

Un graphe est une notation abstraite utilisée pour représenter la connexion entre des paires d'objets. Un graphique se compose de -

  • Vertices- Les objets interconnectés dans un graphe sont appelés sommets. Les sommets sont également appelésnodes.

  • Edges - Les arêtes sont les liens qui relient les sommets.

Il existe deux types de graphiques -

  • Directed graph - Dans un graphe orienté, les arêtes ont une direction, c'est-à-dire que les arêtes vont d'un sommet à l'autre.

  • Undirected graph - Dans un graphe non orienté, les arêtes n'ont pas de direction.

Coloration du graphique

La coloration de graphe est une méthode permettant d'attribuer des couleurs aux sommets d'un graphe afin qu'aucun sommet adjacent n'ait la même couleur. Certains problèmes de coloration des graphiques sont -

  • Vertex coloring - Une manière de colorer les sommets d'un graphe afin qu'aucun deux sommets adjacents ne partagent la même couleur.

  • Edge Coloring - C'est la méthode d'attribution d'une couleur à chaque bord de sorte qu'aucun bord adjacent n'ait la même couleur.

  • Face coloring - Il attribue une couleur à chaque face ou région d'un graphe plan afin qu'aucune face partageant une frontière commune n'ait la même couleur.

Numéro chromatique

Le nombre chromatique est le nombre minimum de couleurs requis pour colorer un graphique. Par exemple, le nombre chromatique du graphique suivant est 3.

Le concept de coloration graphique est appliqué dans la préparation des horaires, l'attribution des fréquences radio mobiles, les Suduku, l'attribution des registres et la coloration des cartes.

Étapes de la coloration des graphiques

  • Définissez la valeur initiale de chaque processeur du tableau à n dimensions sur 1.

  • Maintenant, pour attribuer une couleur particulière à un sommet, déterminez si cette couleur est déjà attribuée aux sommets adjacents ou non.

  • Si un processeur détecte la même couleur dans les sommets adjacents, il définit sa valeur dans le tableau sur 0.

  • Après avoir effectué n 2 comparaisons, si un élément du tableau vaut 1, alors c'est une coloration valide.

Pseudocode pour la coloration des graphiques

begin

   create the processors P(i0,i1,...in-1) where 0_iv < m, 0 _ v < n
   status[i0,..in-1] = 1
	
   for j varies from 0 to n-1 do
      begin
		
         for k varies from 0 to n-1 do
         begin
            if aj,k=1 and ij=ikthen
            status[i0,..in-1] =0
         end
			
      end
      ok = ΣStatus
		
   if ok > 0, then display valid coloring exists
   else
      display invalid coloring
      
end

Arbre couvrant minimal

Un arbre couvrant dont la somme du poids (ou de la longueur) de tous ses arêtes est inférieure à tous les autres arbres couvrant possibles du graphique G est appelé minimal spanning tree ou minimum cost spanningarbre. La figure suivante montre un graphe connexe pondéré.

Quelques arborescences possibles du graphique ci-dessus sont présentées ci-dessous -

Parmi tous les arbres couvrants ci-dessus, la figure (d) est l'arbre couvrant minimum. Le concept d'arbre couvrant à coût minimum est appliqué dans le problème du voyageur de commerce, la conception de circuits électroniques, la conception de réseaux efficaces et la conception d'algorithmes de routage efficaces.

Pour implémenter l'arborescence de coûts minimaux, les deux méthodes suivantes sont utilisées -

  • Algorithme de Prim
  • Algorithme de Kruskal

Algorithme de Prim

L'algorithme de Prim est un algorithme glouton, qui nous aide à trouver l'arbre couvrant minimum pour un graphe non orienté pondéré. Il sélectionne d'abord un sommet et trouve une arête avec le poids le plus faible incident sur ce sommet.

Étapes de l'algorithme de Prim

  • Sélectionnez n'importe quel sommet, disons v 1 du graphique G.

  • Sélectionnez une arête, disons e 1 de G telle que e 1 = v 1 v 2 et v 1 ≠ v 2 et e 1 a un poids minimum parmi les arêtes incidentes sur v 1 dans le graphique G.

  • Maintenant, en suivant l'étape 2, sélectionnez l'incident d'arête pondéré minimum sur v 2 .

  • Continuez ainsi jusqu'à ce que n – 1 arêtes aient été choisies. Icin est le nombre de sommets.

L'arbre couvrant minimum est -

Algorithme de Kruskal

L'algorithme de Kruskal est un algorithme glouton, qui nous aide à trouver l'arbre couvrant minimum pour un graphe pondéré connecté, en ajoutant des arcs de coût croissants à chaque étape. Il s'agit d'un algorithme d'arborescence minimale qui trouve une arête du poids le plus faible possible qui relie deux arbres de la forêt.

Étapes de l'algorithme de Kruskal

  • Sélectionnez une arête de poids minimum; disons que e 1 du graphique G et e 1 n'est pas une boucle.

  • Sélectionnez l'arête pondérée minimale suivante connectée à e 1 .

  • Continuez ainsi jusqu'à ce que n – 1 arêtes aient été choisies. Icin est le nombre de sommets.

L'arbre couvrant minimum du graphique ci-dessus est -

Algorithme de chemin le plus court

L'algorithme de chemin le plus court est une méthode pour trouver le chemin le moins coûteux du nœud source (S) au nœud de destination (D). Ici, nous discuterons de l'algorithme de Moore, également connu sous le nom d'algorithme de recherche en largeur d'abord.

L'algorithme de Moore

  • Étiquetez le sommet source, S et étiquetez-le i Et mettre i=0.

  • Trouvez tous les sommets non étiquetés adjacents au sommet étiqueté i. Si aucun sommet n'est connecté au sommet S, alors le sommet D n'est pas connecté à S. S'il y a des sommets connectés à S, nommez-lesi+1.

  • Si D est étiqueté, passez à l'étape 4, sinon passez à l'étape 2 pour augmenter i = i + 1.

  • Arrêtez-vous après avoir trouvé la longueur du chemin le plus court.


Language